La propagazione del calore per conduzione lungo una sbarra è stata oggetto di molteplici studi da parte di Franklin, Ingen-Housz, Mayer e Buffon. Lambert postulò una legge che stabilisce che:
A distanze crescenti dall’estremo scaldato in progressione aritmetica, gli eccessi delle temperature su quelle dell’ambiente decrescono in progressione geometrica.
L’apparecchio utilizzato da Despretz per verificare la suddetta legge e per lo studio dei coefficienti di conducibilità, è costituito fa una sbarra A munita di incavi B riempiti di mercurio nei quali sono immersi i bulbi dei termometri C. La sbarra viene scaldata ad un estremo per mezzo di una lampada a corrente d’aria. Uno schermo D protegge la sbarra e lo spazio intorno ad essa dall’irraggiamento. I termometri sono posti alla distanza di 10 cm l’uno dall’altro.
Alla fine di un certo tempo, che per i corpi poco conduttori può essere anche di 5 o 6 ore, il regime delle temperature diviene stazionario ed assume un andamento come quelle presentato dalla linea tratteggiata E. Sottraendo dalle indicazioni dei termometri la temperatura dell’ambiente si ottengono i valori degli eccessi di temperatura cercati.
Questa situazione si presenta molto frequentemente nei problemi di propagazione del calore nei solidi quando la loro superficie esterna è sottoposta a condizioni al contorno di tipo convettivo. Infatti, quando il corpo presenta una dimensione molto maggiore rispetto alle dimensioni trasversali ed il calore si propaga lungo di essa , la superficie laterale in contatto col fluido esterno non è isoterma (come chiaramente indicato dai termometri).
La barra dello strumento è di materiale omogeneo ed isotropo con una estremità posta a temperatura costante nel tempo. Il calore si propaga prevalentemente lungo il suo asse ma, in parte, anche in direzione perpendicolare verso l’ambiente a temperatura TA attraverso la superficie periferica della sbarra. L’esistenza di un flusso termico trasversale presuppone un gradiente di temperatura perpendicolare all’asse, come indicato in figura.

Tuttavia, assumendo che il materiale costituente sia un buon conduttore, la dispersione trasversale richiede piccoli gradienti per cui può essere lecito ritenere isoterme le sezioni trasversali come illustrato dalla figura.

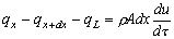
Il problema così schematizzato è monodirezionale. Sotto queste condizioni è possibile scrivere il bilancio termico relativo ad un elemento di volume Adx essendo A la sezione trasversale della barra:
Equazione 1

Essendo qx il flusso termico che, per conduzione, entra nell’elemento di ascissa x, q il flusso relativo alla superficie laterale, ρ e u rispettivamente la densità e l’energia interna del materiale di cui è costituita la barra. In regime stazionario (assumendo A costante) il bilancio termico espresso dalla equazione 1 diventa:
Equazione 2

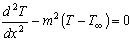
Avendo indicato con k la conduttività del materiale e con p il perimetro della barra. Sviluppando l’equazione 2 si ottiene:

Dove si è indicato:

Che è un’equazione differenziale del secondo ordine, omogenea e a coefficienti costanti, la cui soluzione generale assume la forma:

La determinazione delle costanti C1 e C2 è effettuata specificando le condizioni al contorno sulle due estremità della barra. Si può dimostrare inoltre che vale la seguente proprietà:

“Raggiunto lo stato stazionario, se si prendono tre sezioni situate ad intervalli uguali, il rapporto tra la somma degli eccessi di temperatura sull’ambiente, relativi alle sezioni estreme e l’eccesso di temperatura relativo alla sezione media è costante”.
Equazione 3

Il rapporto dipende solo dalla distanza d.
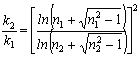
Si dimostra inoltre che il rapporto tra le conduttività di due materiali diversi è dato da:

e

