Questo apparecchio serve per la determinazione dell’equivalente meccanico del calore. Esso utilizza il calore sviluppato nello sfregamento di due pezzi di ghisa cavi a forma di tronco di cono A e B, dei quali uno entra perfettamente nell’altro. Di questi due pezzi quello esterno A viene fatto ruotare mediante una macchina per rotazioni. Quello interno B che tenderebbe ad essere trascinato dal movimento dell’altro, viene mantenuto fermo da un peso S, di valore appropriato, che agisce mediante un filo rinviato dalla puleggia R, sull’estremità della leva G applicata al cono. Questo (B) che è cavo, contiene mercurio nel quale pesca il bulbo di un termometro T.
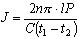
Una volta impresso un moto uniforme al cono esterno si riesce facilmente, per tentativi, a trovare il peso che posto in S mantiene l’indice in posizione fissa ad angolo retto col tratto orizzontale A del filo. Il peso complessivo P del piattino e del carico posto su di esso rappresenta allora la forza che equilibra l’attrito dei due coni. Conoscendo il numero n dei giri indicato dal contagiri H e la lunghezza l del braccio dell’indice, il lavoro fatto dalla forza P è:

D’altra parte la quantità di calore sviluppata sarà:

Essendo C l’equivalente in acqua, t1 la temperatura finale letta dopo n giri e t2 la temperatura iniziale. L’equivalente della caloria sarà:

Il Puluj trovò un valore pari a: 1 J = 425,2 cal.
