Il pendolo reversibile di Kater è lungo circa 2 metri. Due coltelli A e B, i cui spigoli sono affacciati, costituiscono gli assi di rotazione. Il dispositivo di sospensione è costituito da un robusto sostegno all’estremità superiore del quale si trova un piano di appoggio P per i coltelli dell’asta pendolare. Due dischi metallici scorrono sull’asta: uno (E) è interno e l’altro (D) è esterno ai coltelli.
Facendo scorrere le due masse lungo l’asta si può disporle in posizione tale da ottenere periodi di oscillazione uguale attorno ai due assi. Per ottenere tale risultato si procede come segue:
Si fissa con la vite di arresto il disco esterno D il più vicino possibile al coltello e si fa scorrere solo il disco interno E spostandolo ad esempio di 10 cm in 10 cm.
Ad ogni posizione di E si determina con un cronometro la durata del periodo.
Si riportano su un sistema di assi cartesiani: in ascisse le distanze BE ed in ordinate i periodi corrispondenti. Questo lo si fa sia per le oscillazioni attorno ad A che per le oscillazioni attorno a B.
Unendo i punti che si riferiscono ad un medesimo asse di rotazione si ottengono due linee che convergono in un punto. Se ciò non avviene si modifica la posizione del disco esterno e si ripetono le misurazioni. Il punto di incontro di tali linee permette di determinare sul grafico il periodo T che ha lo stesso valore sia per le oscillazioni intorno ad A che per quelle intorno a B, il che significa che se A è l’asse di sospensione, B è l’asse di oscillazione e quindi AB è la lunghezza del pendolo.
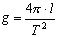
A questo punto dalla legge di oscillazione del pendolo:

risolta per g:

essendo noti sia l che T si ricava g.
