E’ un recipiente simile a quello per liquidi ma avente il collo più largo allo scopo di introdurre agevolmente il corpo in esame. Per eseguire una determinazione si lava il picnometro e si risciacqua con acqua distillata, si riempie di acqua distillata a t °C fino al livello di riferimento e si asciuga accuratamente all’esterno; si pone poi sul piatto destro della bilancia insieme al corpo in esame ed ai pesi P1 in modo da equilibrare una tara T posta sul piatto di sinistra. Si ha pertanto (1):

Si toglie il corpo e P1 e si sostituiscono con dei pesi P2 in modo da equilibrare T (2):

Sottraendo membro a membro la (1) dalla (2) si ha (3):

Si introduce nel picnometro il corpo in esame togliendo l’eccesso di acqua ed asciugando di nuovo il recipiente. Lo si pone sul piatto destro della bilancia col peso P3 in modo da equilibrare T. Si ha (4):

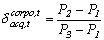
Sottraendo membro a membro la (1) dalla (4) si ha:

P3 – P1 é il peso dell’acqua che ha un volume uguale al volume del corpo. Per definizione il rapporto tra il peso di un corpo ed il peso di un uguale volume d’acqua esprime la densità del corpo relativa all’acqua, quindi:

Perché il volume del picnometro resti costante durante l’esperienza occorre che la determinazione venga effettuata a temperatura costante.
