E’ un apparecchio ideato dall’inglese C. Wheatstone nell’anno 1843 per la misura precisa delle resistenze.
Si fanno variare le resistenze R1 ed R2 finche il galvanometro rivela un passaggio nullo di corrente: ciò significa che i punti B e D si trovano allo stesso potenziale. Quindi applicando la legge di Ohm ai quattro lati si ha:




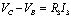
ma essendo VB = VD ne deriva:


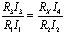
da cui dividendo membro a membro si ha:

ma dato che lungo la diagonale BD non passa corrente si ha:


da cui:

e quindi:

Le resistenze R1 ed R2 si dicono resistenze di proporzione, la resistenza R3 si chiama resistenza di paragone.
