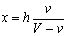
Questo vacuometro viene utilizzato per misurare pressioni estremamente basse dell’ordine della frazione di millimetro. Esso è costituito da un cannello di vetro CC1 che, circa a metà della sua lunghezza si allarga in un palloncino V della capacità di 100 cm3. Sotto il palloncino il cannello CC1 si dirama in uno stretto tubo T che comunica col recipiente contenente il gas rarefatto, ed in un secondo tubo T1 che, mediante un tubo di gomma, è unito ad una ampolla contente del mercurio. La parte superiore C del cannello è divisa in parti di eguale capacità; mentre il valore del volume V di tutta l’ampolla, dall’estremità inferiore C1 alla sommità, è inciso sulla superficie del pallone. Sul tubo T è incisa una scala in millimetri per leggere la differenza fra le altezze del mercurio nei due tubi. Per eseguire la misura si solleva l’ampolla comunicante con T1 in tal modo si fa salire il mercurio in CC1 ed in T fino ad una data divisione della parte superiore C del cannello. Allora si legge sulla graduazione di C il valore v del volume occupato dal gas dentro l’ampolla e si legge pure ilo dislivello h fra le due colonne di mercurio. Quando il mercurio arrivava alla biforcazione C1 il gas occupava nell’ampolla il volume V e la pressione era quella stessa x del gas in esame, ridotto poi il volume al valore v, la pressione è divenuta x + h (avendo trascurato la variazione di pressione nel recipiente dovuta all’innalzamento del mercurio nel tubo T). Perciò applicando la legge di Boyle si avrà:

Da cui:

Se il gas in esame è perfettamente asciutto le indicazioni di questo strumento sono attendibili fino a circa 1/200 di millimetro.
