Fu inventato dal fisico americano Lie De Forest nel 1907 e da lui chiamato “Audion”.
E’ costituito da un’ampolla di vetro in cui è stato fatto un vuoto molto spinto e nella quale si trovano tre elettrodi:
il filamento f che emette elettroni per effetto termoionico
la griglia g formata da un filamento di tungsteno avvolto ad elica
l’anodo o placca p generalmente di forma cilindrica che circonda il filamento e la griglia.
Mantenendo costante il potenziale anodico e fornendo alla griglia potenziali via via crescenti anche la corrente di placca cresce di intensità finché, in corrispondenza di un certo valore della tensione di griglia, assume un valore costante.

Il diagramma ABCD si chiama caratteristica di placca del triodo.
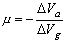
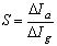
I parametri più importanti di un triodo sono:
coefficiente di amplificazione:

la pendenza o conduttanza mutua:

la resistenza interna:

