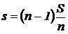
Il nonio lineare diminuito ha una lunghezza uguale a n-1 divisioni della scala principale ed è diviso in n parti cosicché una divisione del nonio differisce da una divisione della scala principale di 1/n della divisione stessa. Qualunque sia il nonio è sempre possibile trovare una sua divisione che coincida, o quasi, con una divisione della scala principale. Detto S un intervallo della scala principale ed s un intervallo del nonio si ha:

da cui

e quindi

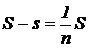
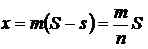
La differenza S-s si dice approssimazione del nonio. Detto m il numero d’ordine della divisione del nonio coincidente con una divisione della scala principale ed indicata con x la frazione di divisione da valutare, sarà:
ms + x =ms da cui

Nonio decimale: n = 10, 9S = 10s, S – s = 1/10 S
questo nonio permette di valutare il decimo della divisione della scala principale.
Nonio ventesimale: n = 20, 19S = 20s, S – s = 1/20 S
questo nonio permette di valutare il ventesimo della divisione della scala principale.
